1. Sifat-sifat cahaya:
a. Cahaya merambat lurus.
Pernahkah kamu menyalakan lilin atau lampu di tempat gelap? Jika lilin atau lampu dinyalakan akan dihasilkan cahaya yabg dapat menerangi tempat yang gelap.
b. Cahaya dapat dipantulkan.
Apakah kamu dapat membedakan benda-benda berdasarkan warnanya? Apa yang menyebabkan demikian? Cahaya memiliki sifat dapat dipantulkan jika menumbuk suatu permukaan bidang. Pemantulan yang terjadi dapat berupa pemantulan baur dan pemantulan teratur. Pemantulan baur terjadi jika cahaya dipantulkan oleh bidang yang tidak rata, seperti aspal, tembok, dan batang kayu. Pemantulan teratur terjadi jika cahaya dipantulkan oleh bidang yang rata, seperti cermin datar. Pada pemantulan baur dan pemantulan teratur, sudut pantulan cahaya besarnya selalu sama dengan sudut datang cahaya
Hal tersebut adalah sesuai dengan hukum pemantulan cahaya yang dikemukakan oleh Snellius. Snellius menambahkan konsep garis normal yang merupakan garis khayal yang tegak lurus dengan bidang pantul. Garis normal berguna untuk mempermudah kamu menggambarkan pembentukan bayangan oleh cahaya. Snellius mengemukakan bahwa:
(1) Sinar datang garis normal, dan sinar pantul terletak pada satu bidang datar.
(2) Besar sudut datang sama dengan besar sudut pantul (<i = <r).
Kemampuan kamu untuk membedakan warna, tidak terlepas dari sifat cahaya. Cahaya yang mengenai benda sebagian akan dipantulkan ke mata dan sebagian lagi akan diserap benda sebagai energi. Misalnyacahaya yang mengenai benda terlihat berwarna merah. Hal ini berarti spektrum cahaya merah akan dipantulkan oleh benda, sedangkan spektrum warna lainnya akan diserap oleh benda tersebut.
c. Cahaya dapat dibiaskan.
Cahaya akan dibiaskan ketika melalui dua medium yang memiliki kerapatan optik yang berbeda. Kecepatan cahaya akan menurun saat dari udara memasuki air atau medium yang lebih rapat. Semakin besar perubahan kecepatan cahaya saat melalui dua medium yang berbeda, akan semakin besar pula efek pembiasan yang terjadi. Namun, pembiasan tidak akan terjadi saat cahaya masuk dengan posisi tegak lurus bidang batas kedua medium.
d. Cahaya merupakan gelombang elektromagnetik.
Bayangkan saat ini kamu sedang berdiri di tepi pantai. Pada saat itu kamu melihat ombak yang sangat besar sedang melaju menuju ke arah kamu. Deburan ombak tersebut hanya memindahkan sejumlah energi dengan memindahkan mediumnya (air laut) karena angin. Hal ini dibuktikan dengan terdengarnya suara ombak (energi gerak menjadi bunyi). Berbeda dengan gelombang laut, cahaya dapat mentransfer energi dari satu tempat ke tempat lainnya tanpa menggunakan medium. Gelombang cahaya terbentuk karena adanya perubahan medan magnet dan medan listrik secara periodik, sehingga merupakan gelombang elektromagnet.
Salah satu fenomena yang dapat membuktikan bahwa cahaya itu mampu mentransfer energi adalah saat lilin yang dinyalakan di sebuah ruang yang gelap dan kemudian lilin tersebut dapat menerangi ruangan. Contoh lainnya adalah matahari yang memancarkan gelombang cahayanya melalui ruang angkasa (tanpa medium). Gelombang cahaya matahari memancar ke segala arah sampai ke bumi meskipun melalui ruang hampa udara. Hal ini berarti gelombang cahaya dapat merambat pada ruang kosong (hampa udara) tanpa adanya materi. Berdasarkan frekuensinya, gelombang elektromagnetik ada bermacam-macam. Berikut klasifikasi gelombang elektromagnetik yang dikenal dengan spektrum elektromagnetik.
Sinar yang dapat dilihat oleh mata manusia adalah bagian yang sangat kecil dari spektrum elektromagnetik. Agar mudah memahaminya, perhatikan Gambar 11.8 yang menunjukkan spektrum cahaya tampak. Cahaya tampak adalah cahaya yang memiliki panjang. gelombang elektromagnetik yang dapat dideteksi oleh mata manusia. Panjang gelombang cahaya tampak berkisar antara 400 nm sampai 700 nm, yang besarnya seratus kali lebih kecil daripada lebar rambut manusia. Warna cahaya yang dapat kamu lihat tergantung pada panjang gelombang dari gelombang cahaya yang masuk ke mata.
Misalnya seperti cahaya hijau yang memiliki panjang gelombang sekitar 500 nm akan dapat terlihat apabila benda-benda yang berwarna hijau menyerap semua spektrum cahaya yang memiliki panjang gelombang kurang dari 500 nm dan lebih dari 500 nm, serta hanya memantulkan spektrum cahaya yang memiliki panjang gelombang 500 nm saja. Berdasarkan penjelasan tersebut dapat disimpulkan bahwa sebuah benda hanya akan memantulkan spektrum cahaya yang warnanya sama dengan warna permukaan benda tersebut, sehingga kita dapat mengindrai dengan tepat warna-warna benda tersebut.
2. Pembentukan bayangan pada cermin.
Salah satu kegiatan yang mungkin kamu lakukan sebelum berangkat ke sekolah adalah berdiri di depan cermin, untuk melihat apakah kamu sudah rapi atau belum. Bahkan sering kali dalam perjalanan, kamu ditemani cermin. Tahukah kamu bahwa cermin yang kamu pakai untuk berkaca setiap hari adalah sebuah cermin datar? Jika seberkas cahaya mengenai cermin datar maka cahaya tersebut dipantulkan secara teratur. Peristiwa pemantulan cahaya pada cermin datar menyebabkan pembentukan bayangan benda oleh cermin.
a. Pembentukan bayangan pada cermin datar.
Pada saat menentukan bayangan pada cermin datar melalui diagram sinar, titik bayangan adalah titik potong berkas sinar-sinar pantul. Bayangan bersifat nyata apabila titik potongnya diperoleh dari perpotongan sinar-sinar pantul yang konvergen (mengumpul). Sebaliknya, bayangan bersifat maya apabila titik potongnya merupakan hasil perpanjangan sinar-sinar pantul yang divergen (menyebar).
b. Pembentukan Bayangan pada Cermin Lengkung.
Pernahkah kamu mengamati kaca spion yang dipasang di kendaraan? Kaca yang dipasang pada spion adalah contoh dari cermin lengkung. Cermin lengkung adalah cermin yang permukaannya melengkung. Ada dua jenis cermin lengkung sederhana yaitu cermin silinder dan cermin bola. Pada subbab ini, kamu hanya akan mempelajari cermin bola (kelengkungannya merupakan bagian dari kelengkungan bola). Khususnya tentang cermin cekung dan cembung. Cermin cekung dan cembung irisan permukaannya berbentuk bola. Cermin yang irisan permukaan bola bagian mengilapnya terdapat di dalam disebut cermin cekung, sedangkan cermin yang irisan permukaan bola bagian mengkilapnya terdapat di luar disebut cermin cembung.
Bagian M adalah titik pusat kelengkungan cermin, yaitu titik pusat bola. Titik tengah cermin adalah O. Sumbu utama yaitu, OM, garis yang menghubungkan titik M dan O. Sudut POM adalah sudut buka cermin jika titik P dan M adalah ujung-ujung cermin. Berdasarkan Gambar 11.12, maka kita dapat menentukan unsur-unsur cermin lengkung, yaitu sebagai berikut:
a) Pusat kelengkungan cermin Pusat kelengkungan cermin merupakan titik di pusat bola yang diiris menjadi cermin. Pusat kelengkungan cermin biasanya disimbolkan dengan M.
b) Vertex Vertex merupakan titik di permukaan cermin dimana sumbu utama bertemu dengan cermin dan disimbolkan dengan O.
c) Titik api (fokus) Titik api adalah titik bertemunya sinar-sinar pantul yang datangnya sejajar dengan sumbu utama (terletak antara vertex dan pusat) dan disimbolkan dengan F.
d) Jari-jari kelengkungan cermin Jari-jari kelengkungan cermin adalah jarak dari vertex (O) ke pusat kelengkungan cermin (M). Jari-jari kelengkungan cermin biasanya disimbolkan dengan R.
e) Jarak fokus Jarak fokus cermin adalah jarak dari vertex ke titik api dan disimbolkan dengan f.
1) Cermin Cekung
Hukum pemantulan yang menyatakan besar sudut datang sama dengan sudut pantul, berlaku pula untuk cermin cekung. Pada cermin cekung, garis normal adalah garis yang menghubungkan titik pusat lengkung cermin M dengan titik jatuhnya sinar. Garis normal pada cermin lengkung berubah-ubah, bergantung pada titik jatuh sinar. Misalnya, jika sinar datang dari K mengenai cermin cekung di B, maka garis normalnya adalah garis MB dan sudut datangnya adalah sudut KBM = α. Sesuai hukum pemantulan, maka sudut pantulnya, adalah sudut MBC = α dan sinar pantulnya adalah sinar BC.
Untuk melukis bayangan pada cermin cekung diperlukan minimal dua buah sinar istimewa. Akan tetapi, hasil akan lebih baik dan meyakinkan jika dilukis dengan tiga sinar istimewa sekaligus dengan langkah-langkah sebagai berikut.
Dimanakah letak bayangan yang terbentuk? Berdasarkan gambar tersebut, tidak terbentuk bayangan atau bayangan terletak di tempat yang jauh tak terhingga.
Bagaimana sifat-sifat bayangan yang terbentuk? Berdasarkan gambar tersebut bayangan yang terbentuk bersifat maya, tegak, dan diperbesar. Selain penggunaan diagram sinar dan tiga sinar istimewa, agar lebih mudah memahami letak benda dan letak bayangan, kamu dapat memahami pembagian nomor ruang pada cermin lengkung (Dalil Esbach). Pembagian nomor ruang pada cermin cekung, dapat dilihat pada Gambar 11.18.
3. Lensa
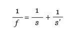
d. Persamaan pada Lensa
sumber:




0 Komentar